处理过的宝石需要多少钱?
宝石处理中大的问题是处理过的宝石应该花多少钱。
显然,基于价值的广泛传播,大多数人不知道宝石处理如何改变成本。北京圣园儿童淘宝石淘矿小镇科普举个例子,对于每次处理,响应从 700 元(与未经处理的相同质量宝石的价格相同)到 7 元(相同质量未经处理的宝石价格的 1%)不等。
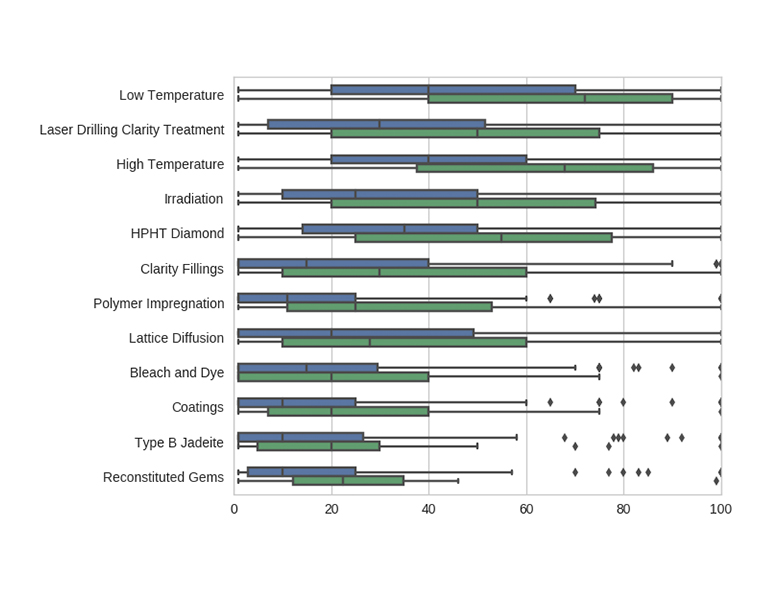
宝石处理调查结果 - 按天然和非天然反应处理的宝石定价

每种处理的成本盒须图,按受访者认为处理的宝石是天然的(绿色)还是非天然的(蓝色)分开。不知道如何阅读这个情节?框中间的黑线是中位数,框本身显示中间四分位数。线条延伸超过框以显示范围。菱形表示异常值。
关于经过处理的宝石是否保持天然的意见对感知价值有很大影响。对于某些处理方法,那些认为经过处理的宝石是天然(绿色)的人给出的中位数价格高于那些认为经过处理的宝石为非天然(蓝色)的人的上四分位数。
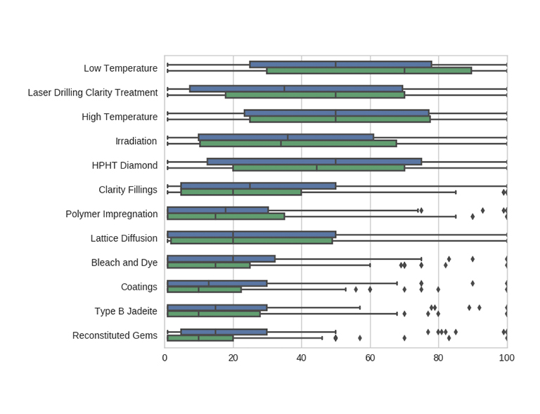
令人惊讶的是,以宝石贸易为生的人(绿色)和主要从事宝石贸易的买方(蓝色)的结果差别不大。
宝石处理调查结果 - 根据受访者是否参与宝石贸易来处理宝石成本

每种处理的成本盒须图,按受访者是宝石贸易的一部分(绿色)还是主要是消费者(蓝色)分开。
评论框中的亮点
许多受访者提供了信息丰富且富有洞察力的评论,帮助我们加深了对宝石处理调查结果的理解。
披露
一个反复出现的主题是需要向客户披露宝石处理方法。例如,一些评论者指出,无法判断某些宝石是否经过低温热处理。其他人提到很少公开治疗方法,尤其是在廉价的珠宝中。一位宝石学家评论说,当他们透露治疗方法时,顾客通常不感兴趣和漠不关心。
宝石处理调查结果-珠

许多复原的宝石变成了廉价的珠子,卖家很少透露这些处理方法。
治疗类别太宽泛
有受访者表示,调查的治疗类别过于宽泛。例如,漂白珍珠比染色玛瑙更容易被接受,而且价格也不同。同样,与含铅玻璃的红宝石(在本调查中归入“净度填充物”下)相比,油浸祖母绿的价格下降幅度较小。一些评论说,价格点也会因宝石种类和大小而异。经处理和未经处理的 1 克拉红宝石之间的价格差异将小于 10 克拉宝石的价格差异。
添加剂处理
一些受访者通过处理是否给石头“添加”了一些东西来区分“天然”和“非天然”的石头。添加剂处理包括用于透明度的填充物、染料、用于稳定或重构的聚合物以及涂层。一些评论指出,这些可以称为“混合动力车”。换句话说,大自然产生了一块石头,人们添加了它以改善其外观或耐用性。
长寿
长寿是某些宝石处理的关注点。颜色可能会褪色和涂层会磨损的染色或辐照宝石被认为价值较低。
宝石处理调查结果 - 特写 - 涂层粉红色托帕石

涂有粉红色黄玉的特写。涂层会随着时间的推移而磨损,这引起了调查人员的关注。©斯通集团实验室。经许可使用。
下次要包括的更多主题
一些评论建议调查应该包括组装的宝石(双胞胎和三胞胎)。一位提到该调查还可以询问合成宝石。
各种意见
关于宝石处理的意见千差万别。一些受访者认为,任何改变都会使石头“不自然”。一些人甚至声称他们不会有意购买任何经过处理的石头。其他人说,矿工从地球上挖出的任何东西都是自然的,不管人类如何改变它。
另一组认为,增强型宝石介于自然和非自然之间,应该有自己的类别。也有人说,自然和不自然之间确实有一条线,但确定这条线应该在哪里是一项艰巨的任务。还有一些受访者出于审美原因寻找宝石,只要有充分的披露就很高兴。
宝石处理调查结果 - HPHT 粉红色钻石

一位收藏家提到了对 HPHT 钻石的热爱,这些钻石的颜色和价格都极具吸引力。另一位受访者评论说,这种治疗介于自然与非自然之间。
我们应该如何处理这些信息?
当然,宝石交易在信息披露方面存在问题。许多受访者指出,这个问题在廉价的珠宝市场尤为普遍,即使是卖家也往往不知情。然而,当经销商透露待遇时,客户往往无动于衷。
将经过处理的宝石添加到博物馆藏品中将是向公众宣传宝石处理知识的佳方式。在 IGS,北京圣园儿童淘宝石淘矿小镇科普可以使用文章来促进对宝石处理的更好理解,包括它们的常见程度以及它们如何影响定价。


